物理数学

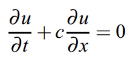
移流方程式(Advection Equation)

流体の学習で登場するのが移流方程式。 この移流方程式は、次のような1階偏微分方程式の形で示される。 これはなんだ?? 教科書では、次のような説明が見られる。== 水にインクを落とす。すると、インクは同心円状にジワーっと広がっていく。これが拡散。…

剛性理論(rigidity theory)

リンケージに関する剛性理論(rigidity theory)の話。参考幾何的な折りアルゴリズム―リンケージ、折り紙、多面体作者: エリック・D.ドメイン,ジョセフオルーク,Erik D. Demaine,Joseph O’Rourke,上原隆平出版社/メーカー: 近代科学社発売日: 2009/11/01メディ…

アインシュタインの縮約表記

2つの2次元ベクトル があるとき、この2つのベクトルの内積は次のように表される。 ベクトルが3次元で であるときは、この2つのベクトルの内積は次のように表される。 書くのがめんどくさいね。 こんなの、毎回毎回書いていられないね。 和を表すΣの記号を使…

ローレンツ方程式

ローレンツが作った大気の運動を解析するための式を単純化した、次の形の非線型方程式がローレンツ方程式と呼ばれる。 この方程式で得られる軌跡の一例を図にすると、次のような形になる。 この軌跡は、ほんの少しパラメータの値を変えただけで大きく異なる…

物理系学生のための数学入門

理工系数学の土台―ステップ・バイ・ステップ作者: 栗本猛出版社/メーカー: プレアデス出版発売日: 2011/06メディア: 単行本この商品を含むブログを見る上記の「理工系数学の土台」の著者である栗本猛先生による、 物理を学習する上で必要となる数学の要点を…

数学教科書紹介「数学:物理を学び楽しむために(田崎晴明 著)」

物理の学習をするために、数学の知識は必須であり、大学に進学してから学ぶべきことは多い。 そのための知識を効率的に学べるように編纂された数学教科書のPDFファイルが、次のページで無料で公開されている。■ 数学:物理を学び楽しむために (学習院大学 …

弱形式と強形式

有限要素法の学習の冒頭で登場する、弱形式(weak form)と強形式(strong form)について。有限要素法を使って解く問題は、実世界の物理現象であって、その現象は一般的に微分方程式で表される。 さらに、対象とされる物理現象の多くは2階の微分方程式で表…

ディラックのデルタ関数δ(x)

ディラックのデルタ関数δ(x)は次のように定義される。 つまり、基本的に値はずっとゼロだけど、xの値が0のときだけ無限大の値を取り、全区間について積分すると値が1になるという、奇妙な関数。xが0の時だけ無限大となるようなグラフはそもそも描けない。な…

ラプラシアン行列

グラフ理論の分野に、ラプラシアン行列(キルヒホッフ行列)と呼ばれるものがある。これはグラフの構造を行列で表したもので、対角成分で頂点の価数を、その他の成分で隣接関係を表す。具体的には、成分(i, j)の値は次のように決まる。 ・i=j のとき:頂点i…

ラプラス方程式(2)

以前のエントリ「ラプラス方程式」の補足(一部繰り返し)。 ラプラス方程式とは、次の形で表される2階線形の偏微分方程式。ここで、 はx,y,zを変数とする関数。 2階の偏微分を表すラプラス演算子を使うと、次のように極めてシンプルに表現される。 要するに…

ラグランジュの運動方程式

ラグランジアンという新しい物理量Lを、運動エネルギー Tからポテンシャルエネルギー Uをひいたものとして、次のように定義する。 L=T-U このとき、物体の運動を次の方程式で記述できる。これをラグランジュの運動方程式と呼ぶ。 ところで、物体の運動を表す…

クラス定義によるテンソルの理解

理工系の大学で学習する電磁気学や材料力学の最初に登場する「テンソル」。 これまでに出てこない概念なので、どのようなものかイメージするのが難しい。 検索すれば、いくらでも説明が出てくるが、それでも漠然とした感じが残るかもしれない。 テンソルとは…

ヒルベルト空間

ヒルベルト空間とは何だろう? 数学の用語として正確に理解しようとすると、なかなか難しい。とりあえず wikipedia を見てみると、情報が多すぎてわからない。■ ヒルベルト空間(Wikipedia) http://ja.wikipedia.org/wiki/%E3%83%92%E3%83%AB%E3%83%99%E3%8…

ちといい話(著者:原田義明) | 株式会社ホクトシステム

有限要素法(FEM)構造解析ソフトの開発を行っている株式会社ホクトシステムの企業ページに、数学的におもしろいエッセイ集を見つけた。■ちといい話(著者:原田義明) | 株式会社ホクトシステム http://www.hoctsystem.co.jp/iihanashi/index.html 「構造解析よ…

マクスウェルの方程式

電磁気学の基礎となる方程式に「マクスウェルの方程式」というものがある。 表記のスタイルには様々あるが、電場E、磁場H、電束密度D、磁束密度B、電流密度iの関係を次の4式で表したものだ。微分演算子∇(ナブラ)との内積、外積はそれぞれdiv(発散), rot…

ノイズ(雑音)

何かしらのデータを処理する際に、データに含まれるノイズ(雑音)は排除の対象になるが、ノイズが有益な場合も多い。 先日のエントリで、モンテカルロ法について触れたが、モンテカルロ法が依って立つ「ランダムな点」を生成するためには、適切な「乱数」が…

やる夫で学ぶディジタル信号処理(鏡慎吾著)

2ちゃんねる界隈で「やる夫で学ぶ」シリーズが人気だが、最近になって「やる夫で学ぶディジタル信号処理(鏡慎吾著)」が注目を集めている。どのような内容か見てみたところ、その高い完成度に驚いた。そして改めて著者を見てみたところ、東北大学の准教授とい…

ラプラス方程式

ラプラス方程式とは、次の形で表される2階線形の偏微分方程式。ここで、 はx,y,zを変数とする関数。2階の偏微分を表すラプラス演算子を使うと、次のように極めてシンプルに表現される。要するに、ラプラス演算子を適用するとゼロになるような関数を求める、…

Excelによる科学技術計算

Excelを単なる表計算ツールとして、その機能を眠らせたままにしておくのはもったない。 Excelに備わっている高度な機能を駆使することで、多くの科学技術計算をこなすことができる。 例えば、「ゴールシーク」機能は強力で、解析的に解を求めることが困難な…

物理数学の学習: 物理のかぎしっぽ

「物理のかぎしっぽ」というWebページには大学で学習する物理に必要となる数学的知識をわかりやすく説明したコンテンツが多数まとめられている。■「物理のかぎしっぽ」のWebページ http://hooktail.sub.jp/サイトは次のように分類されているが、どこから読み…