2012-10-01から1ヶ月間の記事一覧

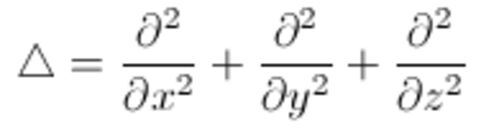
極座標とラプラシアン

ラプラシアンとは直交座標系における2階の微分作用素で、3次元では次のように表される。 これを3次元の極座標で表すと次のようになる。 この導出については、ネット上でさまざまに紹介されているが(例:Laplacian と極座標(PDF))、その手順は煩雑で、自分…

人生生涯小僧のこころ

人生生涯小僧のこころ作者: 塩沼亮潤出版社/メーカー: 致知出版社発売日: 2008/03/10メディア: 単行本購入: 6人 クリック: 29回この商品を含むブログ (37件) を見る奈良県吉野山の金峯山寺蔵王堂から大峯山までの往復48キロ、高低差1300メートル。 これを16…

数学教科書紹介「数学:物理を学び楽しむために(田崎晴明 著)」

物理の学習をするために、数学の知識は必須であり、大学に進学してから学ぶべきことは多い。 そのための知識を効率的に学べるように編纂された数学教科書のPDFファイルが、次のページで無料で公開されている。■ 数学:物理を学び楽しむために (学習院大学 …

ベクトルの微分

ベクトル を変数とする関数 について、fのでの微分は次のように定義される。 ベクトルの微分について、以下が成り立つ。 (Aをn×n行列、Bをm×n行列、aをn×1ベクトルとする)(1) (2) (3) (3)番目の式は、Aが対称行列の場合は次のようになる。 (3') 参考:統計…

放射基底関数(Radial basis function, RBF)

放射基底関数、英語でRadial basis function、略してRBFは、言葉として見ると難しそうだけど、 実際は何のことはない「距離に基づいて値が決まる関数」のこと。変数xの原点からの距離を||x||で表せば、次のようになる。 φ(x)=φ(||x||)代表的なのがガウス関数…

2次形式・二次形式

のように、次数が2の多項式で表される式の形を2次形式と呼ぶ。この形で表される多項式は、ベクトルと行列の演算を使って の形で表すことができる。ここで、 である。実際に であることを簡単な計算で確認できる。一般化して とすれば、 である。たとえば の…

Wordで数式を効率的に入力する

Microsoft Office の Word では「数式ツール」を使って数式を入力できる。 普段からTeXで数式を入力することに慣れていると、この数式ツールのボタン操作が煩雑でたまらない。でも、実はボタン操作をしなくても、簡単なコマンドでいろいろな数式を入力できる…

重力とは何か

重力とは何か アインシュタインから超弦理論へ、宇宙の謎に迫る (幻冬舎新書)作者: 大栗博司出版社/メーカー: 幻冬舎発売日: 2012/05/29メディア: 新書購入: 4人 クリック: 196回この商品を含むブログ (63件) を見る知的好奇心を大いに刺激してくれる良書。 …

iPS細胞物語(文部科学省)

京都大学の山中伸弥教授がノーベル生理学・医学賞を受賞したというニュースはとても喜ばしい。 これを機に、iPS細胞とはそもそも何なのか、どのような技術なのか、興味を持った方も多いだろう。文部科学省には「iPS細胞等研究ネットワーク」というものがあり…

ガウス写像(Gauss Map)

ガウス写像とは、曲面上の点を単位球の表面のある点に対応付ける写像のこと。 具体的には、曲面上の点における単位法線ベクトルの始点を原点に移動したとき、その単位法線ベクトルの終点の位置に対応付けられる。と、言葉で説明しても分かりにくいけど、下の…

線織面と可展面

■ 可展面について歪みなく平面に展開できる曲面を可展面と言う。 紙を曲げて作ることができる曲面が可展面である。と言うこともできる。可展面には、柱面、錐面、接線曲面という3種類の曲面がある。平面も可展面の1つである。可展面は、線織面(ruled surfac…

海外旅行・出張で知っておくといいこと

しばらく海外出張で更新が滞ってました。 今の自分には当たり前だけど、渡航経験が少ない時には知らなかったなぁ、という豆知識を挙げてみる。 1つか2つでも皆さんのお役にたてば。1. 帰国前に滞在先の現金(コイン)を全部使い切る方法 手元にコインを含む…