レイリー商(Rayleigh 商)
レイリー商とは、2 次形式の最大値, 最小値を求めるのに便利な道具。例えば
「という条件のもとで
の最大値、最小値を求めよ」
というような問題がすぐに解ける。
2次形式というのは、
のように、次数が2の多項式で表される式の形。
これは、うまく変形すると
の形にすることができる。
詳しくは、次のエントリ参照「2次形式・二次形式 - 大人になってからの再学習」
このレイリー商の最小値と最大値は、行列Aの最小、最大固有値λmin、λmaxと一致して、
そのときの x は、λmin、λmax に対応する固有ベクトルであることが知られている。
マンガでわかる統計学 素朴な疑問からゆる~く解説 (サイエンス・アイ新書)
数学に感動する頭をつくる (ディスカヴァー携書)
次のPDFファイルでは、具体的な問題の例や、もう少し丁寧な解説が紹介されている。
「Rayleigh 商と,2 次形式の最大値, 最小値(Presented by Minami)」
http://deepwave.web.fc2.com/rayleigh.pdf
ガウス関数の手抜き理解
統計でも物理でも画像処理でも、どこにでも出てくるガウス関数(正規分布)。
だいたい次のような形の式で表現される。
数学が嫌いだったり、数学アレルギーだったりすると、もうこれだけでダメ。
ちなみに、釣鐘(つりがね)って、こんなの。

(出典:弘化の釣り鐘 文化遺産オンライン)
このガウス関数、あまり難しく考えなくても、だいたい次のような要点だけ理解しておけば、ほとんどの場合には事足りる。
結局、「ガウス関数=つりがね型」と決まっているので、
ガウス関数の式が出てきたときに「どんな形をしているのだろう? 」という疑問に対しては、「どれくらい平べったいか」くらいしか自由度が無い。
つまり、下の緑の数値だけ見て、ここが大きくなると平べったくなって、小さいと上に尖った形になる、ということがわかっていれば、だいたいOK。

- 作者: 高橋信,トレンドプロ
- 出版社/メーカー: オーム社
- 発売日: 2004/07/01
- メディア: 単行本
- 購入: 156人 クリック: 1,757回
- この商品を含むブログ (203件) を見る
移流方程式(Advection Equation)
流体の学習で登場するのが移流方程式。
この移流方程式は、次のような1階偏微分方程式の形で示される。

これはなんだ??
教科書では、次のような説明が見られる。
==
水にインクを落とす。すると、インクは同心円状にジワーっと広がっていく。これが拡散。
もしも、インクを落としたのが流れのある川の水面であった場合、インクは川下へ流れていく。この現象が移流。
==
簡単に言ってしまえば、
「移流とは流れに沿った移動」
のこと。
何の移動なのかと言えば、インク液の濃度でもいいし、温度でもいい。何でもいい。数値で表現可能な物理量のこと。
つまり、繰り返しになるけど、移流とは
「流れに沿って物理量が移動する」
という現象のことを言う。
ここまでは、全然難しい話ではない。
左から右への流れがあれば、温度やらインクの濃度やらは、流れに乗って、左から右へ移動する。これが移流。
周りに徐々に広まって、濃度が薄くなる現象は「拡散」なので、今は考えない。拡散は無いものとする。
この「移流」の現象を、方程式という形で記述したものが「移流方程式」。
どうして、こんな形をしているんだろう??
u というのは、何かしらの物理量を表す。繰り返しになるけど、温度だってインクの濃度だって、なんだっていい。
「この物理量を時間で偏微分したもの(第一項)と、この物理量を位置(空間)で偏微分したもの(第二項)の定数倍の和がゼロになる。」
ということを言っている。
うーん。これが、どうして「流れに沿った物理量の移動」を表しているのだろうか。
天下り式に、『「物理量が一定速度で空間を移動する」という場合に、この方程式を満たすから。そういうものだと納得してくれ。』
と説明される(または何も説明が無い)ことが多いけど、なかなか納得いかない。
これ以降、この移流方程式が、なぜこのような形をしているのか説明してみる。
まず、流れの速さは一定で、値 c で表されるものとする。
物理量 u は、時間 t と位置 x によって値が決まるので、この t と x という2変数の関数として
u (x, t)
の形で表される。
この値が、速さ c で流されていくわけだから、
観測点 x, 時刻 t における物理量 u(x, t) の値は、時刻 Δt だけ後には、位置 x+cΔt の場所に現れる。
つまり、
u(x+cΔt, t+Δt) = u(x, t)
という式で表すことができる。
後の計算のために、両方の観測点の位置を -cΔt だけずらすと、次のように表せる。
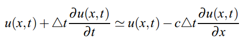
Δt が十分に小さいとすると、両辺をテイラー展開して以下の式が得られる。
これはつまり、冒頭の式
と等しい。
このようにして、「物理量が一定速度で空間を移動する」という現象を式で表すと、
冒頭に記した「移流方程式」になることを示した。
たしかに、「移流方程式」は、流れに沿って物理量が移動することを表しているのだ。
初期条件(時刻 t = 0 のときの値)が与えられれば、この方程式の解(位置と時間から求まる物理量)を求めることができる。

- 作者: 武居昌宏,松下マイ,オフィスsawa
- 出版社/メーカー: オーム社
- 発売日: 2009/11/01
- メディア: 単行本
- 購入: 2人 クリック: 58回
- この商品を含むブログ (12件) を見る

トコトンやさしい流体力学の本 (B&Tブックス―今日からモノ知りシリーズ)
- 作者: 久保田浪之介
- 出版社/メーカー: 日刊工業新聞社
- 発売日: 2007/09/01
- メディア: 単行本
- クリック: 5回
- この商品を含むブログ (4件) を見る
・参考
別の説明の仕方。上記のテーラー展開の場所が理解できない場合、こちらの方がわかりやすいかも。
http://www.waka.kindai.ac.jp/tea/shibue/1stOrderAdvectionEquation.pdf
拡散方程式の導出については、こちらが詳しい。
http://www2.kobe-u.ac.jp/~iwayama/teach/kisoIII/2011/chap6.pdf







