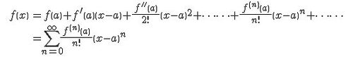
昨日のエントリ「70の法則、72の法則」の中で、xの値が十分小さいときに次の式が成り立つ、ということを書いた。なぜなのか疑問に思うかもしれないので、簡単に説明する。無限回微分可能な関数f(x)について、次式が成り立つ。これをf(x)のx=aでのテイラー展…
引用をストックしました
引用するにはまずログインしてください
引用をストックできませんでした。再度お試しください
限定公開記事のため引用できません。