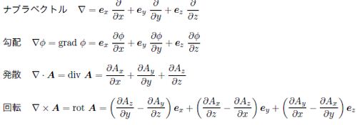
grad, div, rot については、山ほどの解説ページが存在するが、一言で言ってしまうと次のような感じ。・勾配 gradφ:スカラー場のある地点φでエネルギーが最も大きく変化する方向を示す。∇φで示せる。スカラー→ベクトル ・発散 divA:ベクトル場の、ある地…
引用をストックしました
引用するにはまずログインしてください
引用をストックできませんでした。再度お試しください
限定公開記事のため引用できません。